概要
高周波信号を扱うエンジニアは、リターンロス、反射という用語に日々接していると思います。反射とは送信した信号が受信方向に進まず逆戻りする現象と、なんとなく抽象的に理解している方も多いと思います。今回は、この反射について調査してみます。
反射の定義
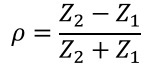
高周波信号を扱う場合は、反射を小さくするため全てのインピーダンスを合わせて設計します。例えば、送信回路の出力インピーダンスと伝送線路インピーダンス及び受信端インピーダンスを全て50Ωに設計します。信号経路の途中にインピーダンスが変化する場所があると、そこで信号の一部が受信側に進まず送信側に戻る現象が反射です。反射する信号がどの位あるかを示す係数:ρは、以下式で表されます。Z1:Area1の特性インピーダンス、Z2:Area2の特性インピーダンス。
反射のメカニズム
では、なぜ反射が発生するのでしょうか。なにが起こっているのか詳しく見てみましょう。下図は、伝送線路を表しArea1=Z1Ω、Area2=Z2Ωの特性インピーダンスを持ち、Area1とArea2の境界にインピーダンス不連続点が存在します。信号がインピーダンス不連続点を越えてArea1(Z1)からArea2(Z2)に移動しても、信号電圧総量と信号電流総量は変わりません。Area2の電圧(Vtrans)に等しくなるArea1の電圧(Vreflect)が発生し、Area1とArea2の物理的均衡を保っています。電流も同じ理屈でArea1の反射波(Ireflect)が発生します。このような振る舞いは、一見不思議に思えるかもしれませんが、電気信号も例外なく物理法則に従って伝送されます。反射波は、Area1とArea2の物理的境界条件の矛盾を補正するために発生しているのです。

下図は、Area1のVforward+VrefrectとIfoward+Ireflect、Area2のVtransとItransを示しインピーダンス不連続点前後で信号電圧と信号電流が変わらない事を示しています。インピーダンス不連続点をArea1から見ても、Area2から見ても信号電圧と信号電流は同じで物理的に均衡が保たれています。

反射係数の計算
さて、社会人になって錆びついてきた頭を反射係数:ρの計算を通してリフレッシュしてみましょう。
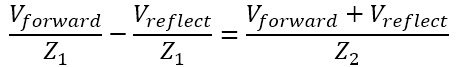
右辺の分子をVforward+Vreflectに置換します。
![]()
Vreflect/Vforwardを表す式に変形すると以下式が導けます。先ほど説明した反射係数:ρが導けました。

では、Z1=50Ω、Z2=50Ωの反射係数:ρを計算してみましょう。
![]()
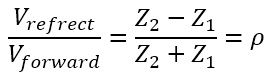
次に、Z1=50Ω、Z2=0Ω(短絡)の反射係数:ρを計算してみましょう。
![]()
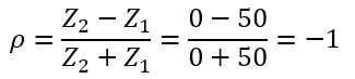
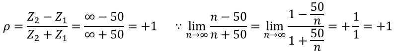
更に、Z1=50Ω、Z2=∞Ω(解放)の反射係数:ρを計算してみましょう。

Area1:Z1>Area2:Z2の場合、V1>V2でρは負値を示し、Area1:Z1<Area2:Z2の場合、V1<V2、ρは正値を示します。ρ=0は、反射波が発生しないことを意味しています。 ρ=-1、ρ=+1は全ての信号が反射する全反射を表しています。では、ρの極性(+), (-)は何を意味するのでしょうか? これは反射波の極性を表しており(+)なら同じ極性で、(-)なら逆極性で反射波が発生します。
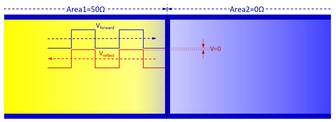
Z1=50Ω、Z2=0Ω(短絡)の時、ρ= -1で全反射が発生しますが、その時の様子を下図に示します。VforwardがArea1とArea2の境界に到達すると、全ての信号が逆極性で反射しArea1に戻って行きます。Area2は、短絡しているので電圧が発生しないという現象も直感的に理解し易いと思います。左下の青と赤の矩形波について少し補足しますと、青のVforwardがArea1とArea2と境界でRise Edgeを、赤のVrefrectがFall Edgeをそれぞれ示すので逆極性で反射波が発生していると言えます。

Z1=50Ω、Z2=∞Ω(解放)の場合、ρ= +1で全反射が発生しますが、その時の様子を下図に示します。VforwardがArea1とArea2の境界に到達すると、全ての信号が正極性で反射しArea1に戻って行きます。Area2は、解放しているので電圧が最大になるという現象も直感的に理解し易いと思います。「電圧振幅は、受信終端しないと2倍になる。」と聞いたことがありませんか? 開放端では確かにVforwardの2倍の電圧振幅が観測されますが、Vforwardと全反射したVreflectが加算されたという現象が正しい理解です。同様に左下の青と赤の矩形波について少し補足しますと、青のVforwardがArea1とArea2と境界でRise Edgeを、赤のVrefrectがRise Edgeをそれぞれ示すので正極性で反射波が発生していると言えます。

多重反射現象
反射波が伝送線路内で減衰しきれず、更に反射を繰り返す現象について実験結果を交えて説明します。下図は、HDMI Source機器にHDMIケーブルを接続して評価した時の波形です。左側のEye波形は、Jitterが多くEye開口があまり開いていません。そこで、短いHDMIケーブルに変えたところEye波形が劣化したように見えました。短いケーブルを使用したので、Eye開口が改善しそうですが逆の結果が得られました。短いケーブルは、挿入損失が小さくなるので反射波も減衰しにくくなり反射波は、送信→受信→送信→受信経路を反射しながら減衰していきます。これが多重反射と呼ばれる現象です。

まとめ
実際の設計現場では、インピーダンス不連続点をできるだけ少なく小さくすることが求められますが、0にすることはまず不可能です。インピーダンス制御し製造された伝送線路でもエッチング加工誤差、層間膜誤差、銅箔表面の粗さがインピーダンス不連続点を発生させ更に、半田付け、コネクター、ビア、ランドパッド、ESD保護素子等、インピーダンス不連続点を発生させる原因は尽きません。設計現場では、下記項目を参考にすると良いでしょう。
- 伝送線路、ケーブルはインピーダンス制御し製造する。
- 送信端、伝送線路、受信端インピーダンスは同じ値にする。
- 分岐、スタブをなくす。
- 伝送線路を曲げる場合は緩やかに形状を変化させる。
- 伝送線路は信号ラインとリターンパスの形状変化を最小にする。
参考文献
更に詳しく学習したい方向けに参考文献を下記に記載しますのでご参考になさって下さい。
「エリック・ボガティン 高速デジタル信号の伝送技術 シグナルインテグリティ入門」 丸善株式会社
本記事に関するお問い合わせ
認証試験.com ロゴ認証試験の各種サービスを提供しています:HDMI, USB, Type-C, PD, DisplayPort, HDR10+, MCPC, HDR, UHDA, Bluetooth, Wi-Fi, IMAX


2 comments
Pingback: 高速シリアルインターフェースのプリエンファシス効果をSpice Verilog-aでシミュレーションしてみよう! – 認証試験.com
Pingback: S-parameterとは何か、セミフレキ同軸ケーブルRG402評価を交えて解説します – 認証試験.com